Free Printable Texas Will Forms – Possess a reputable Free Printable Texas Will Forms on hand with our free, effortless-to-print version. Download it straight away and circumvent the seeking.

Are you a Texan looking to create or update your will? Look no further than free printable Texas will forms! These convenient and easy-to-use templates make the process of estate planning simple and stress-free. Whether you’re a first-time will maker or a seasoned pro, these forms are designed to meet your needs and ensure that your final wishes are carried out exactly as you intend.
With free printable Texas will forms, you can take control of your estate and make important decisions about your assets, beneficiaries, and more. Say goodbye to expensive legal fees and complicated paperwork – these forms are accessible to everyone and can be completed from the comfort of your own home. Don’t wait until it’s too late to create a will – start the process today with these user-friendly templates and enjoy peace of mind knowing that your affairs are in order.
Empower Yourself with Easy-to-Use Templates
Creating a will can seem like a daunting task, but with free printable Texas will forms, it’s easier than ever. These templates guide you through the process, prompting you to make important decisions and ensuring that your will is comprehensive and legally sound. From naming guardians for your children to distributing your assets, these forms cover all the bases and give you the power to make choices that reflect your values and priorities.
Don’t let the fear of the unknown hold you back from creating a will. With free printable Texas will forms, you can take control of your future and protect your loved ones with a document that accurately reflects your wishes. Whether you’re planning for the unexpected or simply updating an existing will, these templates make the process simple and straightforward. Empower yourself today with these easy-to-use forms and enjoy the peace of mind that comes with knowing your affairs are in order.
Secure Your Legacy with Confidence
Your legacy is important, and creating a will is an essential step in securing it for future generations. Free printable Texas will forms give you the tools you need to plan for the future and ensure that your assets are distributed according to your wishes. By taking the time to create a will now, you can avoid confusion and disputes among your loved ones later on. Don’t leave your legacy to chance – use these templates to create a will that accurately reflects your values and priorities, giving you the confidence to face the future with peace of mind.
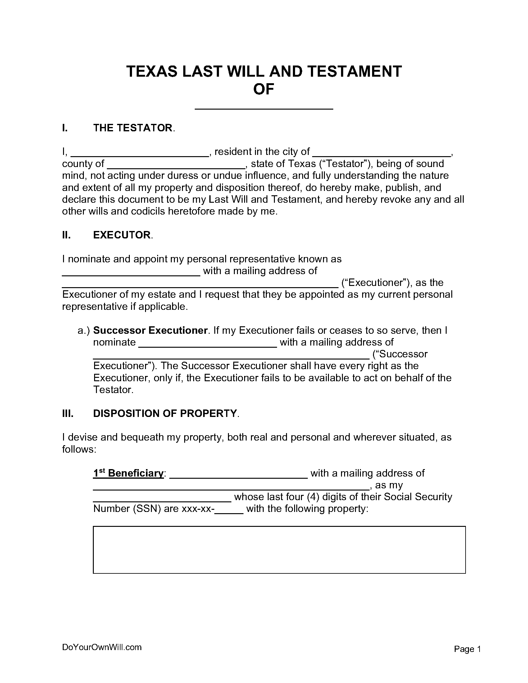
Free Printable Texas Will Forms
<”img” src="”https://homeprintable.org/wp-content/uploads/2025/11/fillable-texas-last-will-and-testament-form-free-formspal-throughout-free-printable-texas-will-forms.webp”" alt="”Fillable" 1="Last" 2="Will" 3="And" 4="Testament" 5="Form" 6="[Free"/> | Formspal throughout Free Printable Texas Will Forms”]


Related Printables..
Disclaimer: Images displayed on this website are used for informational and educational purposes under fair use. Copyright belongs to the original creators. To request removal of an image, send us a valid notice, and we will act quickly to resolve the issue.